365英国上市公司(集团)官方网站-Global Platform
公司主站
集团首页
关于我们
英国365公司官网简介
公司领导
机构设置
公司位置
党建工作
党务工作
工会工作
学历继续教育
招生管理
教务与学籍
校外教学点
精品课程
非学历继续教育
培训简介
培训动态
精品培训项目
名师风采
培训管理系统
证书查询
政策文件
上级文件
集团相关制度文件
下载中心
公司首页
shou ye
通知公告
公司首页
>>
通知公告
>> 正文
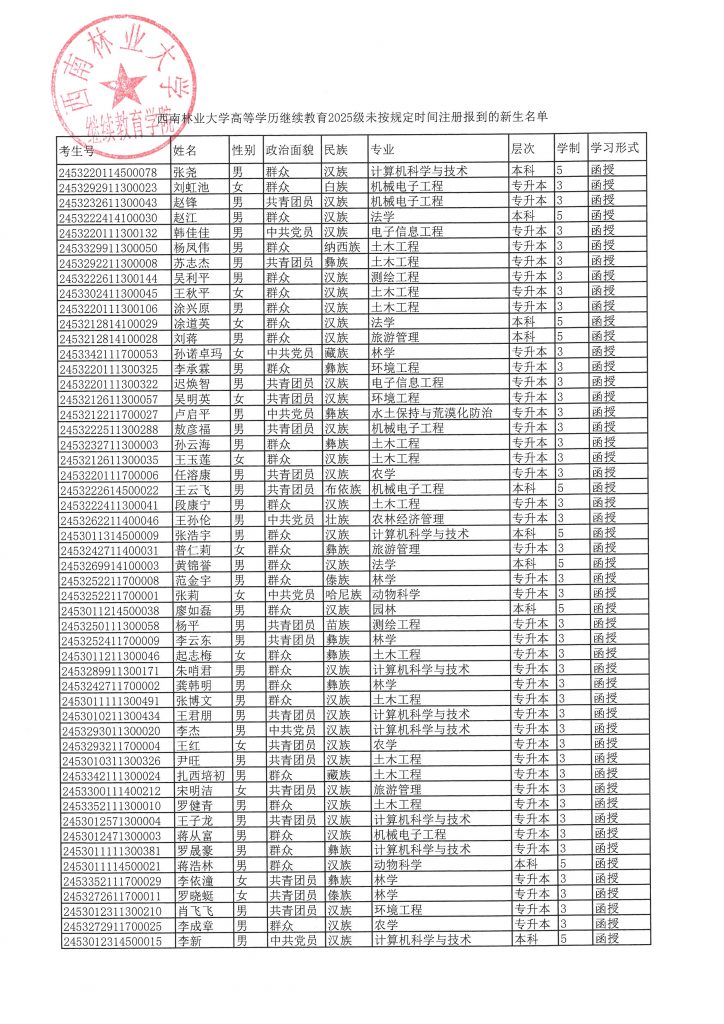
关于拟对2025级未报到新生不予注册学籍的温馨提示
发布日期:2025-03-27 作者: 来源:英国365公司官网 点击:
上一篇:
2026届毕业生毕业照片采集的具体要求
下一篇:
英国上市公司365关于进一步规范校外教学点收费管理的通知